企源知识库,专业知识分享平台!
首页
关于我们
首页
>
分类
> 文章详情
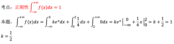
求系数k的值
👤
admin
📅
2024-10-18
👁️
29 次浏览
求系数k的值
【正确答案】:
【题目解析】:
热门文章
加强学前教育法制建设的途径主要有:加强学前教育法规的普法力度;加强学前教育执法力度;加强学前教育执法的监督力度和
幼儿消化系统的特点是()。
经常用于拍卖鲜花、水果、蔬菜等鲜活商品的方式是
属于“公共道德规范”的选项是
万树所著的词学著作是
下列作品中,主人公以“拾破烂”谋生的是
下列度数序列中,不能构成简单无向图的是
试论述现代物流质量管理的概念及其特点。
<p>个人在行动中能不断克服困难去完成艰巨任务,这指的是意志品质的( )</p>
<p>首先要给出项目所需工料清单,然后再对项目工料清单中各项物料和作业成本进行估算,最后向上滚动加总得到项目总成本估算的方法是() <br></p>
下列不属于会计工作过程所包含的环节的是()
随着经济的发展,企业间的竞争越发激烈。 MDD公司高层认为在竞争中,员工素质显得尤为重要,特别是员工的交流沟通能力成为公司发展的决定性因素。因此,高层决定将邀请康威大学的马教授于20 1 2年5月开始对公司中层管理者进行为期一周的"商务交流技巧"的培训,以便于提高员工的实际商务交流能力。在培训结束后,公司将组织受训员工就本次培训内容进行讨论并分享心得。培训经理需要草拟一份培训计划并提交给常务董事审议,并希望尽快得到常务董事对该计划的意见。(1)你作为培训经理,请发送一份备忘录给常务董事。(2)请
➕
放大
➖
缩小
📋
复制
⬆️
TOP
复制成功!