">
">
企源知识库
专业知识收录平台
分类:
高等数学(工本)(00023)
发表:2024年09月14日 03时09分07秒
作者:
admin
阅读:
(30)
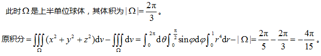
【正确答案】:
上一篇
简述公司的一般性竞争策略。
下一篇
对“香蕉黄的衬衫”进行切分,正确的切分是
Top
首页
后台登录
×
×