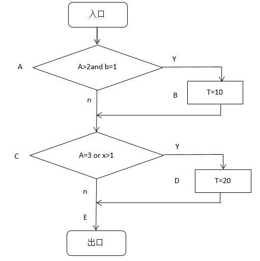
设被测试的程序段为:begin if((a>2)and(b=1))then T=10;if((a=3)or(x>1))then T=20;end可供选择的测试用例如题38表。请画出该段程序的流程图。选取较少的测试用例编号,用分支覆盖、路径覆盖、语句覆盖3种方法来测试这段程序,并指出哪种方法的覆盖强度最弱。
设被测试的程序段为:begin if((a>2)and(b=1))then T=10;if((a=3)or(x>1))then T=20;end可供选择的测试用例如题38表。请画出该段程序的流程图。选取较少的测试用例编号,用分支覆盖、路径覆盖、语句覆盖3种方法来测试这段程序,并指出哪种方法的覆盖强度最弱。
【正确答案】:(1)该程序段的流程图如下:

(2) 分支覆盖:①⑪。路径覆盖:①④⑤⑧。语句覆盖:①(或②,或③)。(说明:测试用例的选取不唯一,只要满足要求均可)
(3) 这3种覆盖中,语句覆盖的强度最弱。【答案解析】:P177
(1)该程序段的流程图如下:
(2) 分支覆盖:①⑪。路径覆盖:①④⑤⑧。语句覆盖:①(或②,或③)。(说明:测试用例的选取不唯一,只要满足要求均可)
(3) 这3种覆盖中,语句覆盖的强度最弱。【答案解析】:P177